Macalester College,
MN,
US
Loading map...
{"minzoom":false,"maxzoom":false,"mappingservice":"leaflet","width":"auto","height":"350px","centre":false,"title":"","label":"","icon":"","lines":[],"polygons":[],"circles":[],"rectangles":[],"copycoords":false,"static":false,"zoom":false,"defzoom":14,"layers":["OpenStreetMap"],"image layers":[],"overlays":[],"resizable":false,"fullscreen":false,"scrollwheelzoom":true,"cluster":false,"clustermaxzoom":20,"clusterzoomonclick":true,"clustermaxradius":80,"clusterspiderfy":true,"geojson":"","clicktarget":"","imageLayers":[],"locations":[{"text":"","title":"","link":"","lat":44.937694444444446,"lon":-93.16929166666667,"icon":""}],"imageoverlays":null}
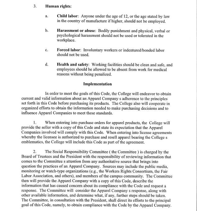
Type: Policy
Status: In effect
Source File: http://www.macalester.edu/procurement/documents/codeofconduct.pdf
Search Strings: Anti-Sweatshop, human rights, forced labor, abuse, apparel, purchasing
Text: